Hitachi 27CX4B Operating Manual page 11

Solid state color tv
Table of Contents
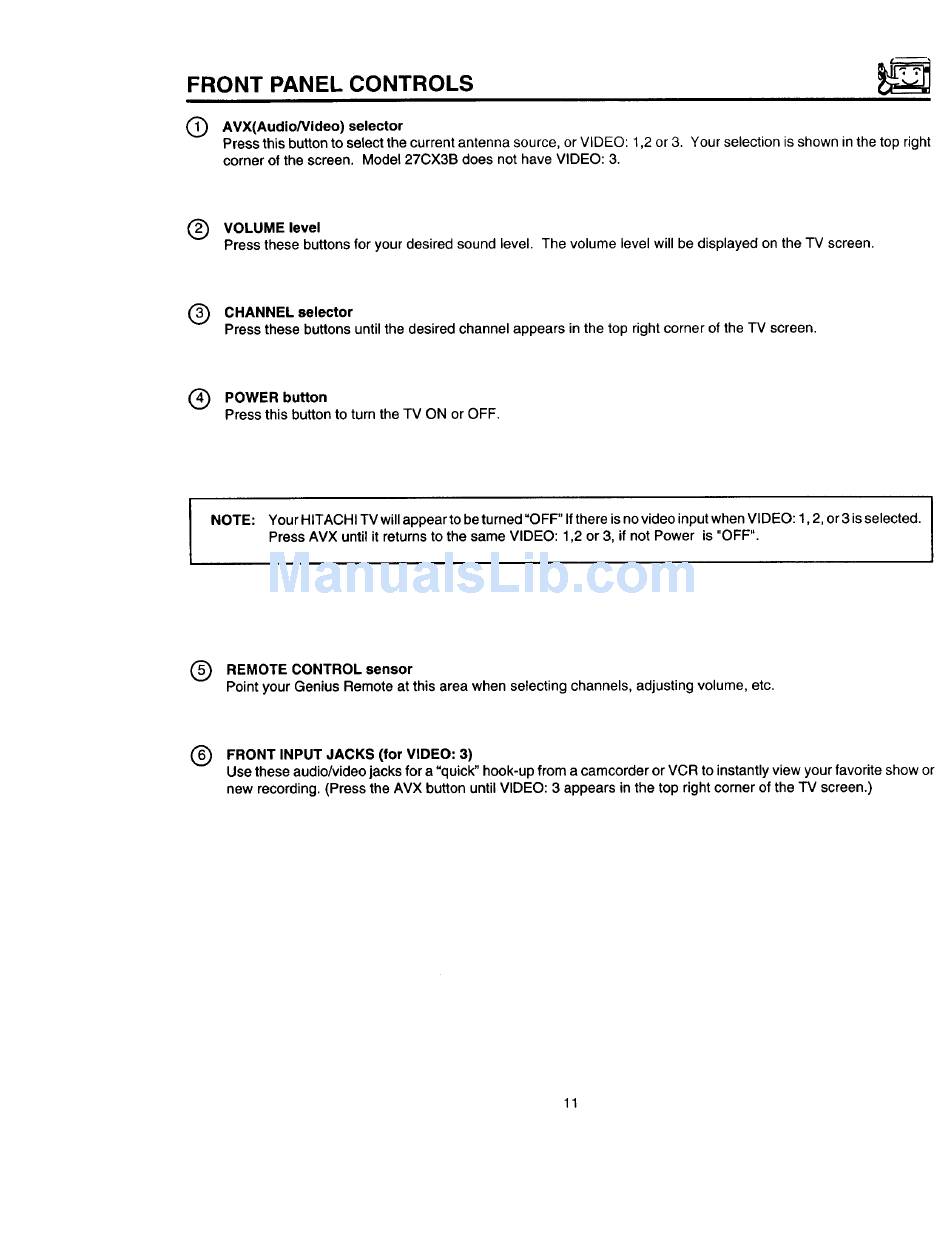
FRONT PANEL CONTROLS
AVX(Audio/Video)
selector
Press this button to select the current antenna source, or VIDEO: 1,2 or 3. Your selection is shown in the top right
corner of the screen.
Model 27CX3B does not have VIDEO: 3.
Q
VOLUME level
Press these buttons for your desired sound level. The volume level will be displayed on the IV screen.
Q
CHANNEL selector
Press these buttons until the desired channel appears in the top right corner of the TV screen.
G
POWER button
Press this button to turnthe TV ON or OFF.
NOTE:
Your HITACHI TV will appear to be turned"OFF"
If there is no video input when VIDEO: 1,2, or 3 is selected.
Press AVX until it returns to the same VIDEO: 1,2 or 3, if not Power is "OFF".
Q
REMOTE CONTROL sensor
Point your Genius Remote at this area when selecting channels, adjusting volume, etc.
Q
FRONT INPUT JACKS (for VIDEO: 3)
Use these audio/video jacksfor a "quick" hook-upfrom a camcorder or VCR to instantly view your favoriteshow or
new recording.(Pressthe AVX buttonuntilVIDEO: 3 appearsin the top rightcorner ofthe TV screen.)
11

Hide quick links:

Table of Contents
loading
Need help?

Need help?

Do you have a question about the 27CX4B and is the answer not in the manual?

This manual is also suitable for:

27cx3b27ux5b

Table of Contents