Propulsion Mechanism - Aeg Vl-40.5 User Manual

Vacuum circuit breaker
Table of Contents

4. Propulsion mechanism

4-1 Cabinet entry of handcart
Close the valve of the interlocking piece 2 of the pushing mechanism, operate the left and right handles
1 to position B, and push the circuit breaker handcart into the switch cabinet along the guide rail until the
pins 5 on both sides correspond to the positioning holes of the switch cabinet. Release the left and right
handles to fix the circuit breaker handcart in the switch cabinet. Operate the grounding interlock handle 4
to position a to make it in the insertion position. (if the propulsion mechanism is not equipped with
grounding interlock, this step can be skipped).
4-2
Pushed in or pulled out
Put the circuit breaker in the opening state (manual or electric), open the valve of the interlocking
piece 2, and insert the operating handle to make the circuit breaker advance and exit in the cabinet. When
the circuit breaker enters the working position or retreats to the test position, the "click" sound of clutch
slipping can be heard, and the handcart does not move. At this time, the shaking of the operating handle
should be stopped. The advancement and withdrawal of the circuit breaker handcart in the cabinet shall be
flexible without obvious jamming. (Note: when the circuit breaker touches the valve mechanism of the
cabinet and is almost in place, the propulsion force should be significantly increased, which is normal).
4-3 Closing operation
1. Push the handcart into the switch cabinet and operate the left and right handles to position A.
2. Open the earthing switch and operate the earthing interlock handle to the position A.
3. Press the interlocking piece and turn the main operating shaft clockwise with the handle to push the
circuit breaker to the working position in the cabinet.
4. Close the interlocking piece, close the circuit breaker and operate.
4-4 Emergency opening
When the switch cabinet is in an emergency, the emergency opening handle 3 rotates counterclockwise
to open the circuit breaker.
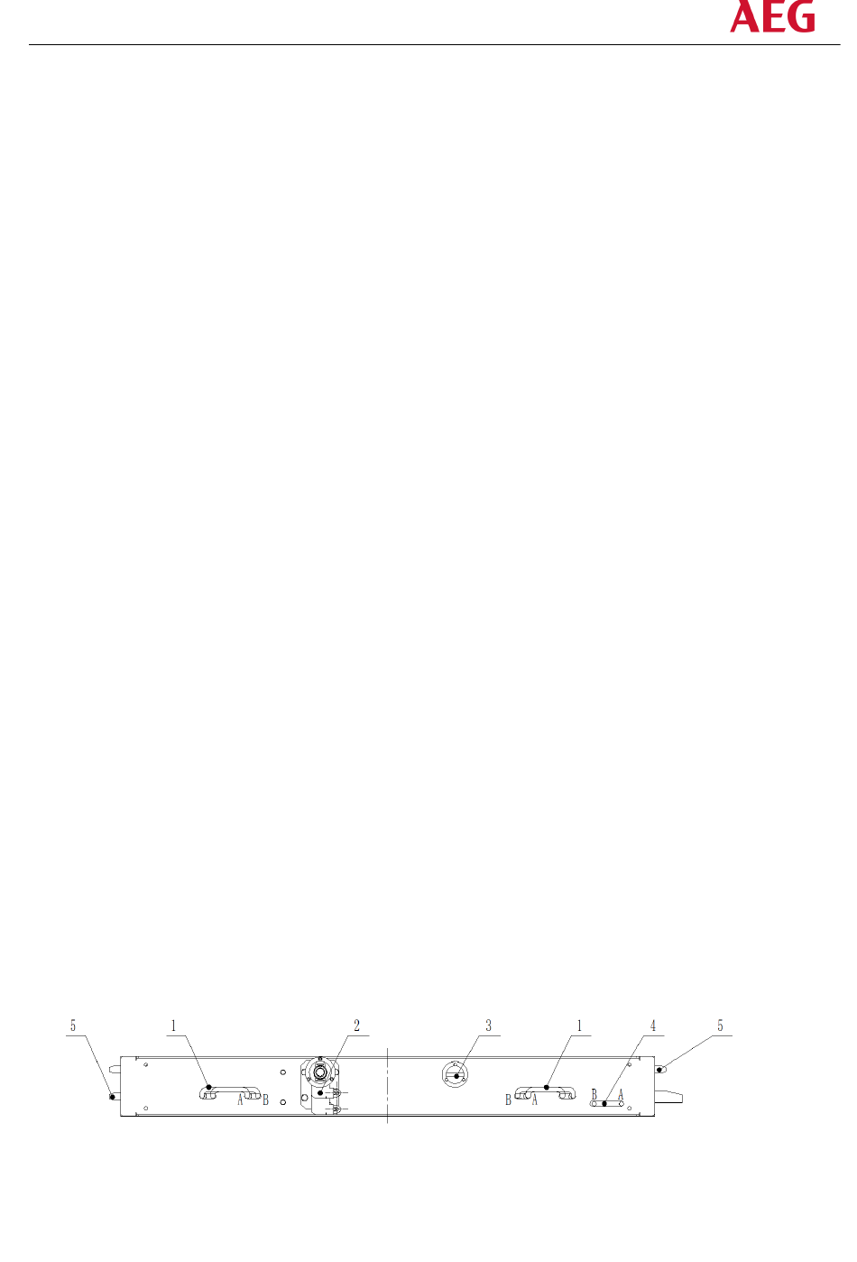
4-5 Illustration (working position)
1. Left and right handles
2. Interlocking piece
3. Emergency opening handle
4. Grounding interlock handle
5. Bolt
of handcart
Fig.4 Schematic diagram of propulsion mechanism
21

Chapters

Table of Contents
loading
Need help?

Need help?

Do you have a question about the VL-40.5 and is the answer not in the manual?

Table of Contents