Murata PE25200 User Manual page 11

Evaluation kit
Table of Contents

Advertisement

100
95
90
85
80
75
70
65
60
0
2
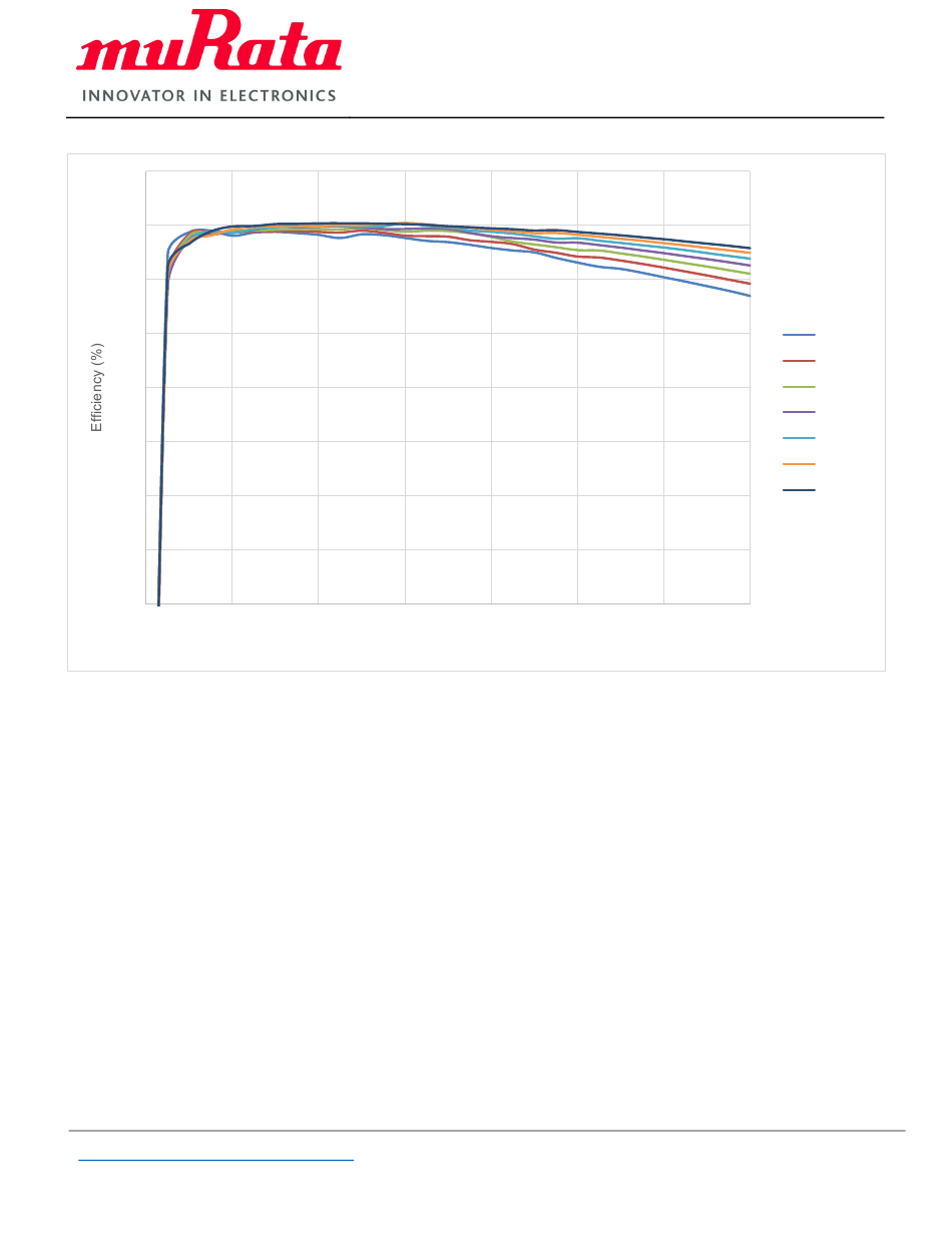
Figure 10. Divide-by-3 Internal Sync Cycle Skip Efficiency vs. Output Current
http://www.murata.com/products/power
Copyright ©2021 Murata Manufacturing Co., Ltd. and pSemi Corporation, a Murata Company. All rights reserved.
DOC-105510-1 (07/2021)
High Efficiency DC-DC Converter
4
6
8
Current (A)
PE25200 EVK User's Manual
10
12
Vin 9V
Vin 10V
Vin 11V
Vin 12V
Vin 13V
Vin 14V
Vin 15V
14
Page 11 of 25

Advertisement

Table of Contents
loading
Need help?

Need help?

Do you have a question about the PE25200 and is the answer not in the manual?

Table of Contents