Murata PE25200 User Manual page 10

Evaluation kit
Table of Contents

Advertisement

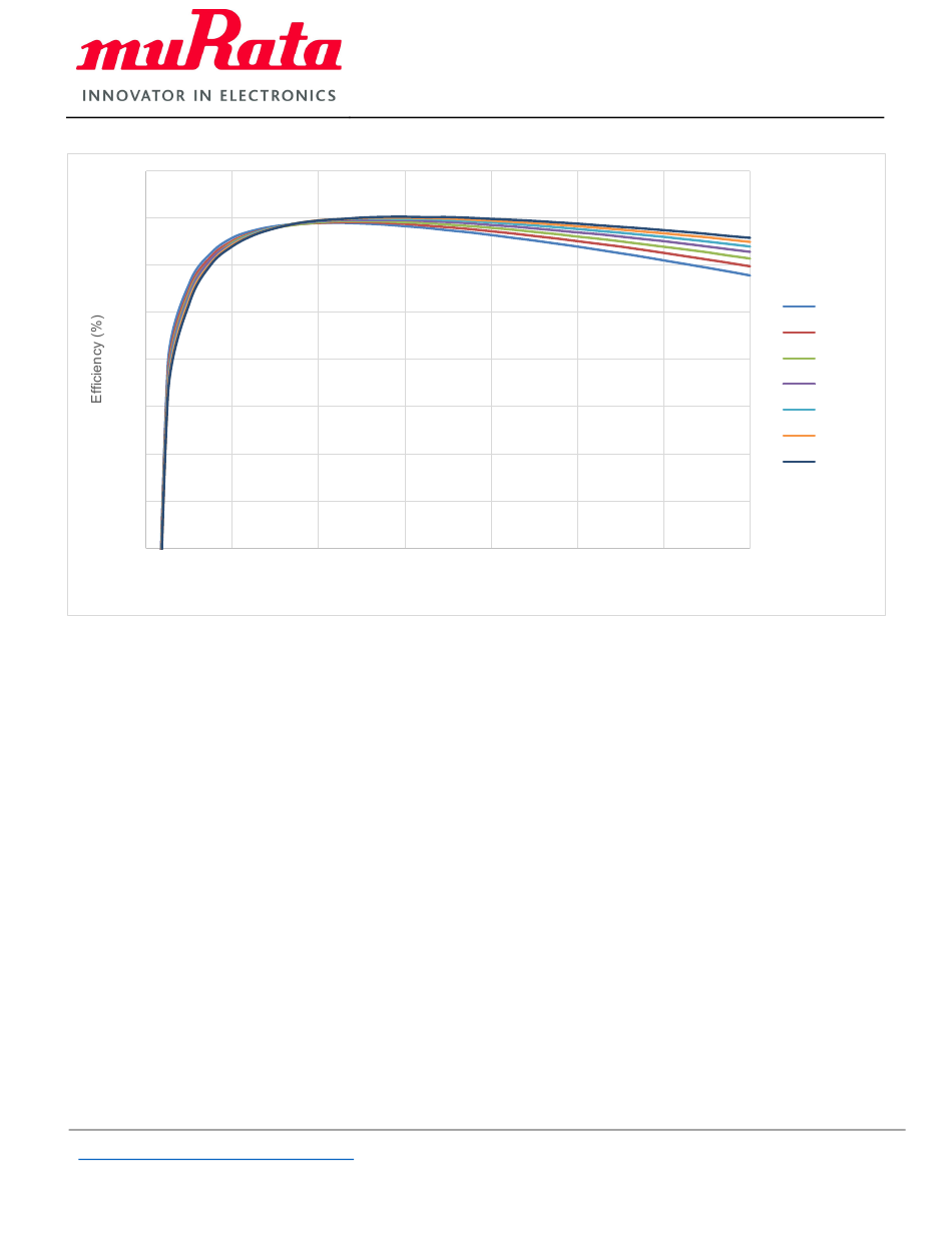
100
95
90
85
80
75
70
65
60
0
2
http://www.murata.com/products/power
Copyright ©2021 Murata Manufacturing Co., Ltd. and pSemi Corporation, a Murata Company. All rights reserved.
DOC-105510-1 (07/2021)
4
6
Output current (A)
Figure 9. Divide-by-3 Internal Sync Efficiency vs. Output Current
PE25200 EVK User's Manual
High Efficiency DC-DC Converter
8
10
Vin 9V
Vin 10V
Vin 11V
Vin 12V
Vin 13V
Vin 14V
Vin 15V
12
14
Page 10 of 25

Advertisement

Table of Contents
loading
Need help?

Need help?

Do you have a question about the PE25200 and is the answer not in the manual?

Table of Contents