Protection Function Setting Before Gain Adjustment - Panasonic Minas-Liqi Series Technical Reference

Ac servo amplifier
Table of Contents

Advertisement

7-4 Protection Function Setting before Gain Adjustment
When carrying out the gain adjustment, you can enjoy the comfortable usage of it by properly setting the parameters
below according to the operating condition.
1) Overtravel limit setting
Allows you to proactively avoid a collision at the end by entering the limit sensor signal into the am-
plifier. Refer to positive/ negative overtravel limit (POT/ NOT) in the interface specification. Also, set up
the following parameters related to overtravel limits:
Pr5.04 "Over-travel inhibit input setup"
Pr5.05 "Sequence at over-travel inhibit"
2) Torque limit
The damage can be reduced when a problem, such as equipment's bite and collision, occurs by restrict-
ing the motor's maximum torque. To uniformly restrict the torque with parameter, set up Pr0.13 "1
limit".
However, when restricted to less than practically necessary torque, be careful that the position deviation
excess protection can occur because a overspeed protection due to overshooting or a command delay oc-
curs.
Also, the limited torque state can be externally detected by allocating the torque limited output (TLC) as
the interface specification to the output signal.
3) Overspeed protection
When the motor runs at unusual high-speed, Err26.0 "Over-speed protection" is generated.
By default, it is automatically set to 1.2 times of maximum speed [r/min] of the motor used.
When the maximum speed under customer's operating condition is less than the motor's maximum
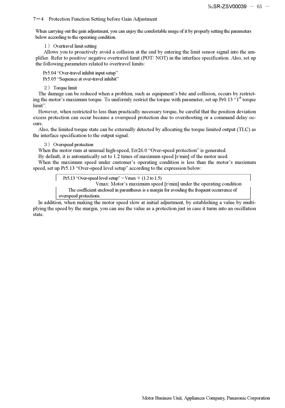
speed, set up Pr5.13 "Over-speed level setup" according to the expression below:
Pr5.13 "Over-speed level setup" = Vmax  (1.2 to 1.5)
The coefficient enclosed in parentheses is a margin for avoiding the frequent occurrence of
overspeed protections.
In addition, when making the motor speed slow at initial adjustment, by establishing a value by multi-
plying the speed by the margin, you can use the value as a protection just in case it turns into an oscillation
state.
Vmax: Motor's maximum speed [r/min] under the operating condition
Motor Business Unit, Appliances Company, Panasonic Corporation
№SR-ZSV00039 - 65 -
st
torque

Advertisement

Table of Contents
loading
Need help?

Need help?

Do you have a question about the Minas-LIQI Series and is the answer not in the manual?

Table of Contents